№ 7.12
Задание:
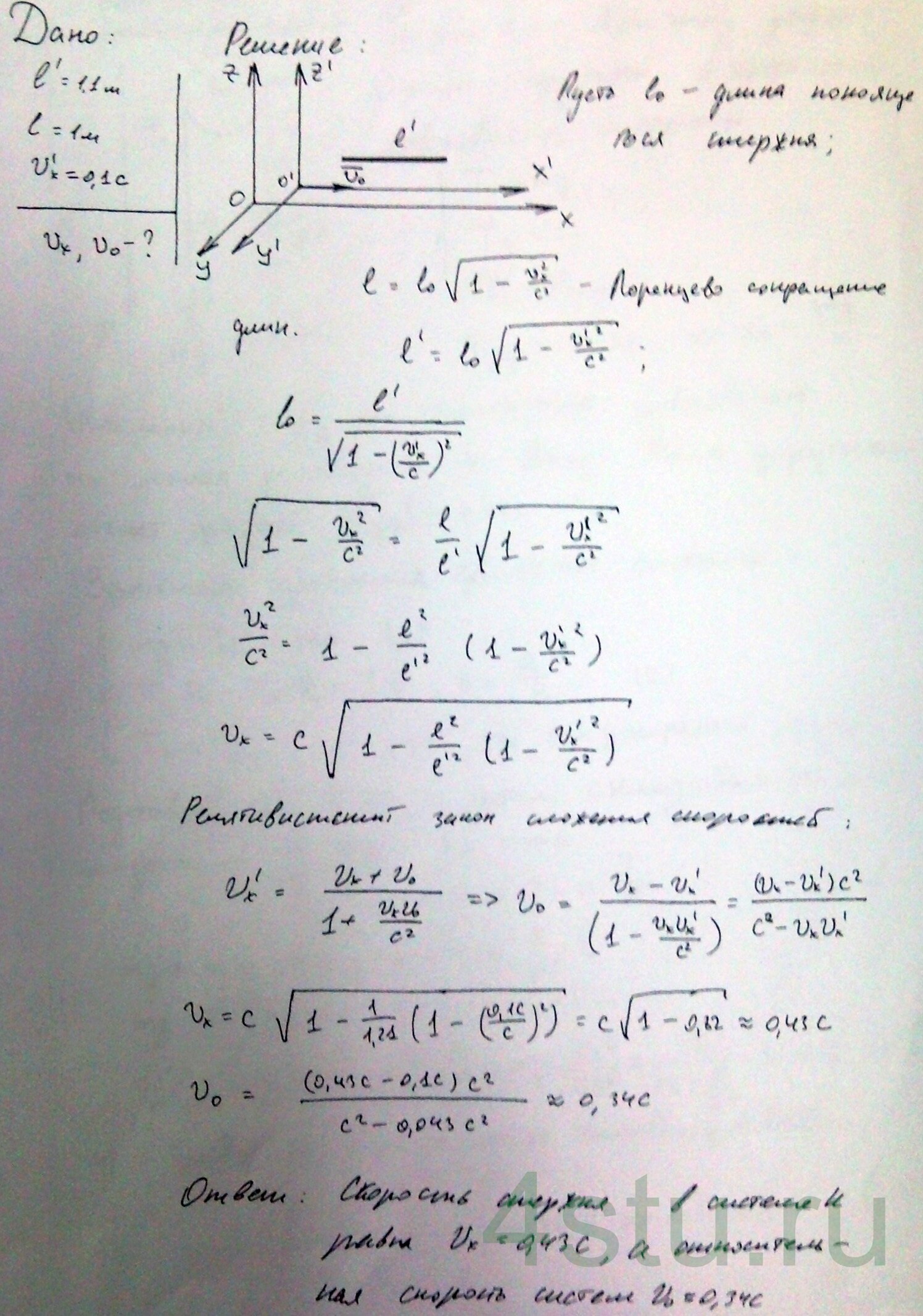
Имеются две системы отсчета K и K', относительная скорость которых неизвестна. Параллельный оси x стержень, движущийся относительно системы K со скоростью v2' = 0,1 c, имеет в этой системе длину l' = 1,1 м. В системе К длина стержня равна l = 1 м. Найти скорость стержня vx в системе K и относительную скорость систем v0.
Решение:
