№ 6.62
Задание:
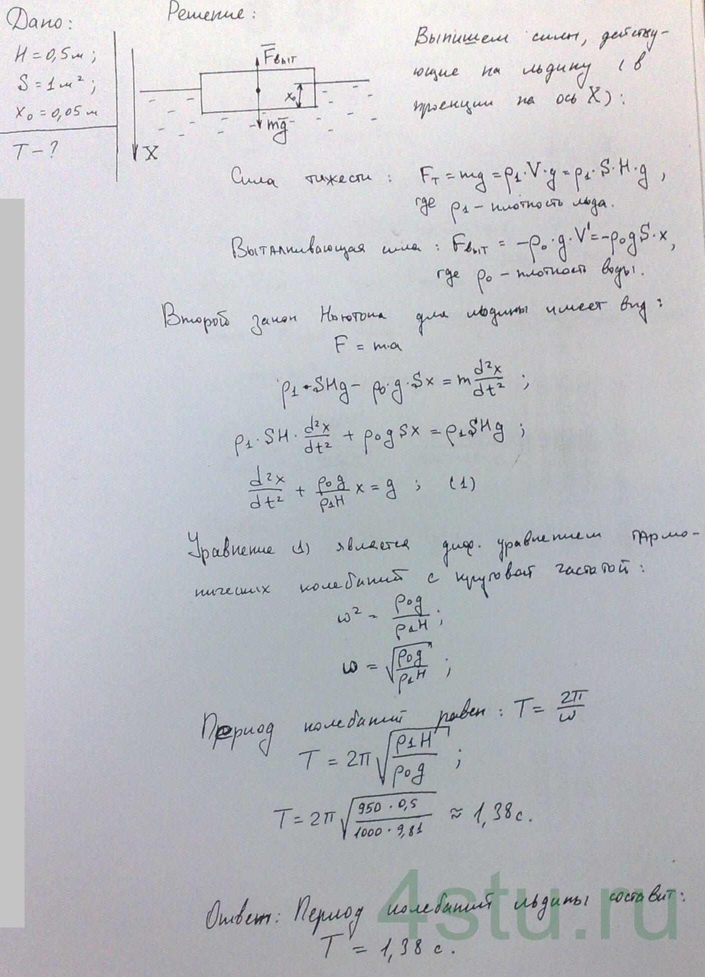
В воде плавает льдина с площадью основания S = 1 м2 и высотой H = 0,5 м. Льдину погружают в воду на небольшую глубину x0 = 5 см и отпускают. Определить период ее колебаний. Плотность льда ρл = 900 кг/м3, плотность воды ρв = 1000 кг/м3. Силой сопротивления воды пренебречь.
Решение:
