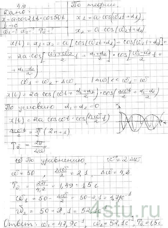
№ 6.48
Задание:
При сложении двух гармонических колебаний одного направления уравнение результирующего колебания точки имеет вид x = a cos(2,1 t) cos(50,0 t), где t - время в секундах. Найти круговые частоты складываемых колебаний и период биений.
Решение:
