4stu.ru
Главная
(current)
О сайте
Карта сайта
Поиск
Заказать
Добавить
Поиск по сайту
×
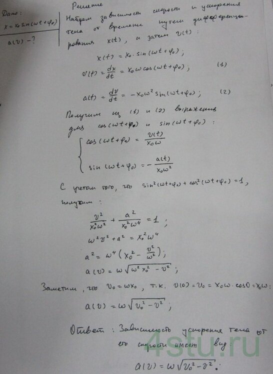
№ 6.32
Задание:
Найти зависимость ускорения гармонического колебания x = x
0
sin(ωt + ϕ
0
) от скорости.
Решение:
Главная
Физика
Практический курс физики. Механика - Анисимов, Третьякова
№ 6.32