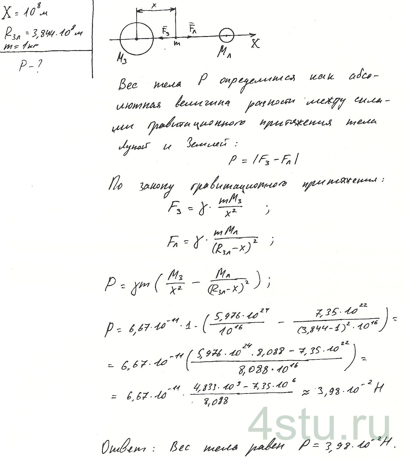
№ 5.23


Задание:

Найти вес тела массой m = 1 кг, находящегося между Землей и Луной на расстоянии x = 108 м от центра Земли.

Решение:

Решение: № 5.23