№ 5.21
Задание:
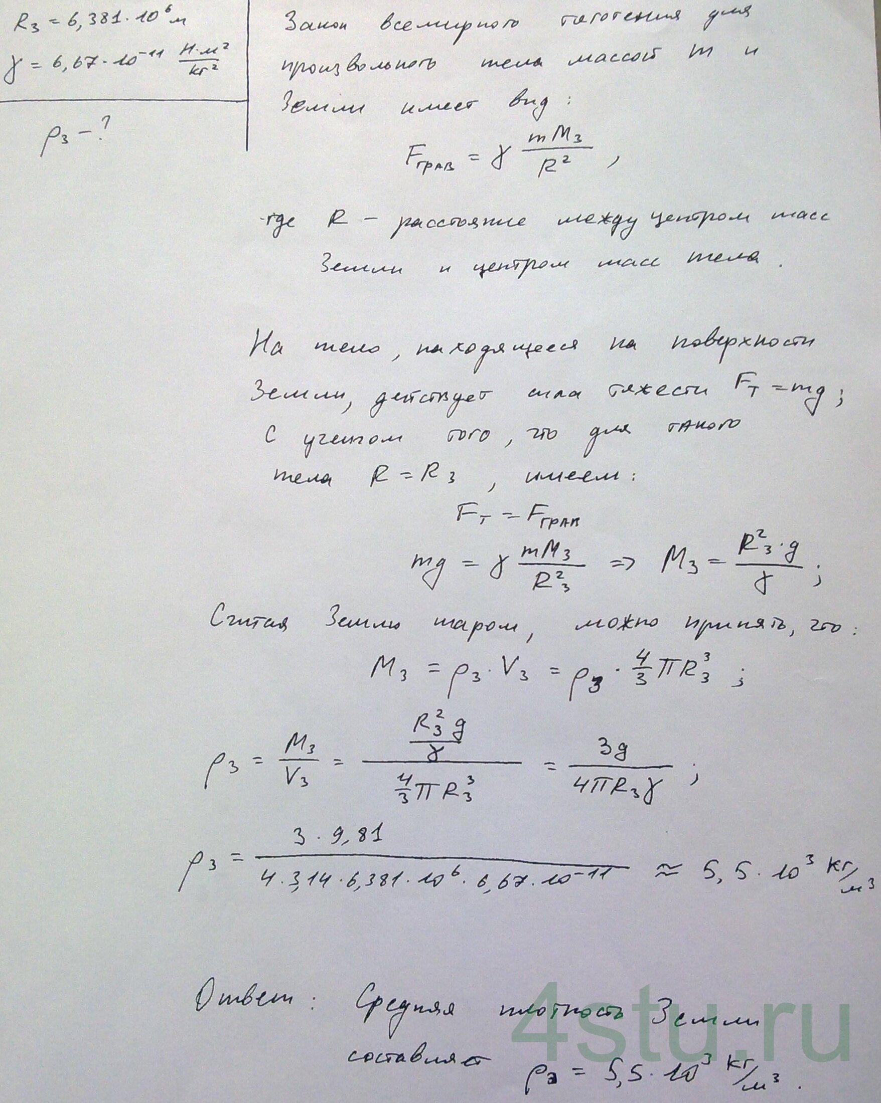
Определить среднюю плотность Земли, если известна гравитационная постоянная γ = 6,67⋅10-11 Н⋅м2/кг2 и радиус Земли R = 6,4⋅103 км.
Решение:

Определить среднюю плотность Земли, если известна гравитационная постоянная γ = 6,67⋅10-11 Н⋅м2/кг2 и радиус Земли R = 6,4⋅103 км.