№ 4.29
Задание:
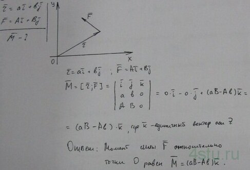
К точке, радиус-вектор которой относительно начала координат О равен r = ai + bj, приложена сила F = Ai + Bj, где a, b, A, В = const. Найти момент M силы F относительно точки O.
Решение:

К точке, радиус-вектор которой относительно начала координат О равен r = ai + bj, приложена сила F = Ai + Bj, где a, b, A, В = const. Найти момент M силы F относительно точки O.