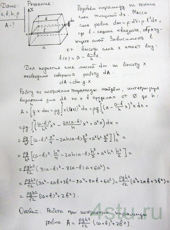
№ 3.41
Задание:
Определить работу при построении правильной усеченной пирамиды высотой h, если нижнее и верхнее основания ее - квадраты со сторонами a и b соответственно. Плотность материала ρ.
Решение:

Определить работу при построении правильной усеченной пирамиды высотой h, если нижнее и верхнее основания ее - квадраты со сторонами a и b соответственно. Плотность материала ρ.