№ 3.33
Задание:
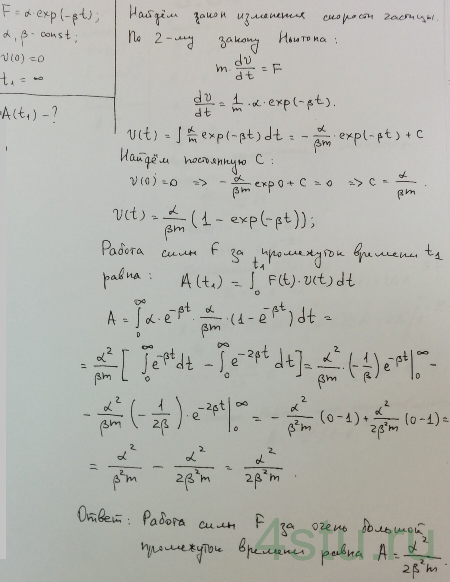
На частицу массой m действует сила F = α exp(-βt), где α и β - положительные постоянные. При t = 0 скорость частицы v = 0. Найти работу силы за очень большой промежуток времени (t→∞).
Решение:

На частицу массой m действует сила F = α exp(-βt), где α и β - положительные постоянные. При t = 0 скорость частицы v = 0. Найти работу силы за очень большой промежуток времени (t→∞).