№ 2.57
Задание:
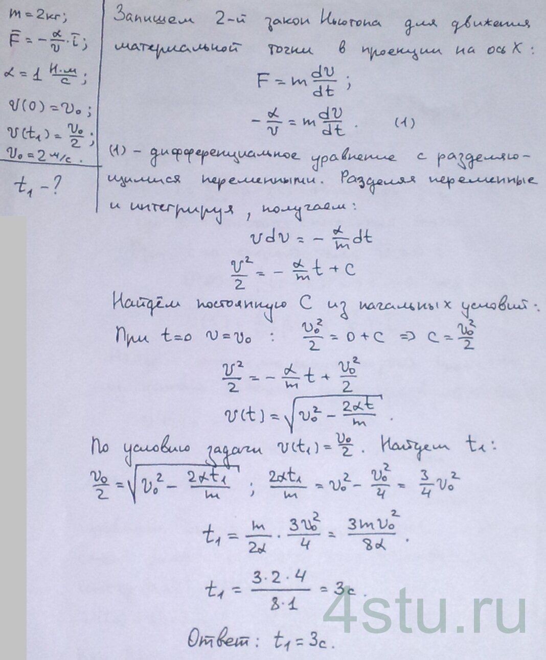
Материальная точка массой m = 2 кг движется под действием силы F = − α/v i, где α = 1 Н⋅м/c, v - модуль скорости точки. В какой момент времени скорость точки уменьшится вдвое, если ее начальная скорость v0 = 2 м/с?
Решение:

Материальная точка массой m = 2 кг движется под действием силы F = − α/v i, где α = 1 Н⋅м/c, v - модуль скорости точки. В какой момент времени скорость точки уменьшится вдвое, если ее начальная скорость v0 = 2 м/с?