№ 2.51
Задание:
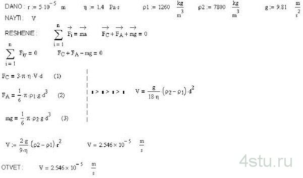
Стальной шарик радиусом r = 0,5 мм падает в широкий сосуд, наполненный глицерином. Найти скорость v установившегося (равномерного) движения шарика. Коэффициент внутреннего трения в глицерине равен η = 1,4 Н с/м2, плотность глицерина ρ1 = 1260 кг/м3, плотность стали ρ2 = 7800 кг/м3. Указание. Для решения задачи необходимо воспользоваться гидродинамической формулой Стокса, выражающей силу сопротивления, испытываемую шариком в вязкой жидкости: Fc = 6πrηv.
Решение:
