№ 1.51
Задание:
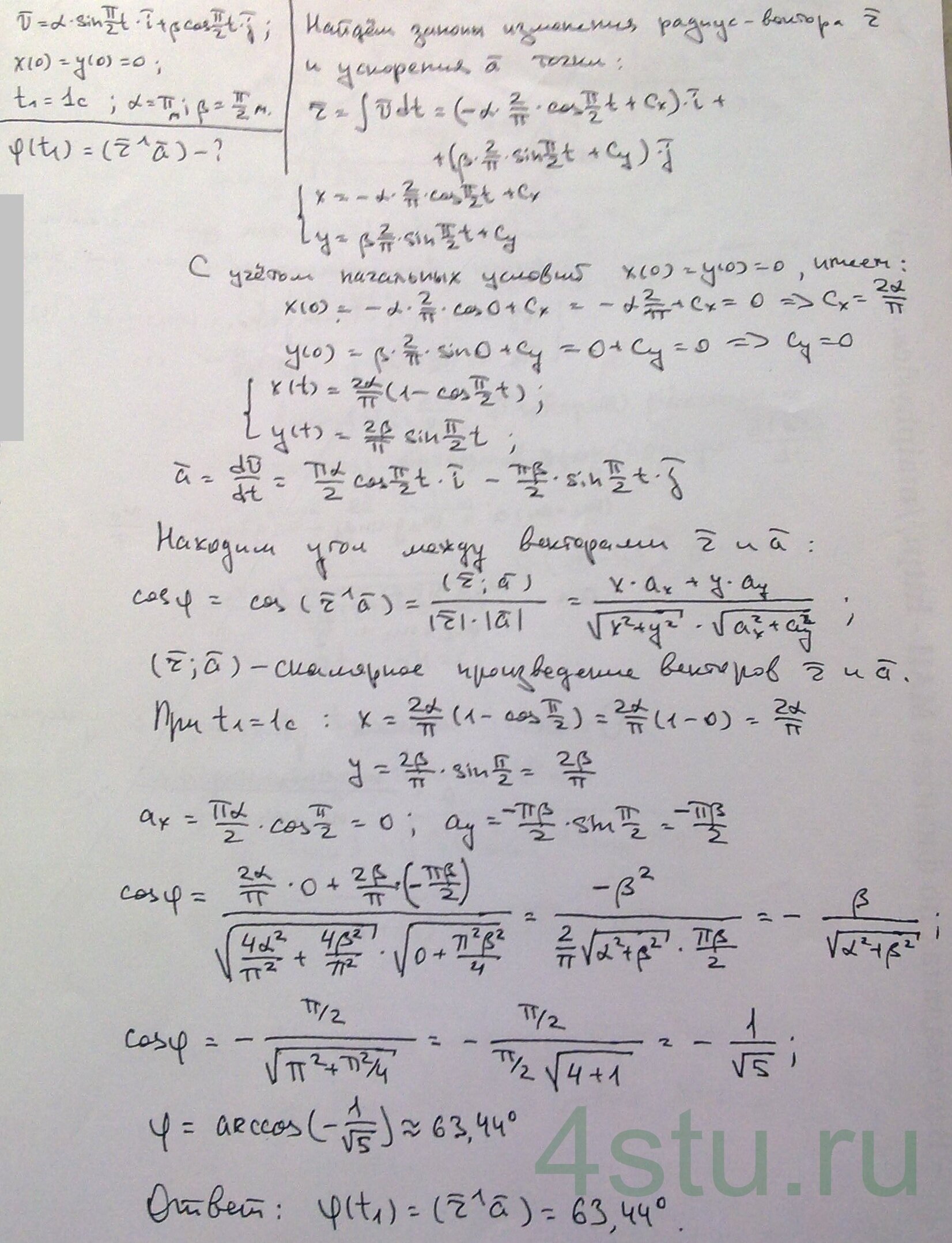
Точка начинает движение из начала координат со скоростью, закон изменения которой представлен в виде v = α sin(π/2 t)i + β cos(π/2 t)j [м/с], где α = 2β = π [м/с]. Найти угол между вектором ускорения и радиус-вектором в момент времени t1 = 1 c.
Решение:
