№ 1.44
Задание:
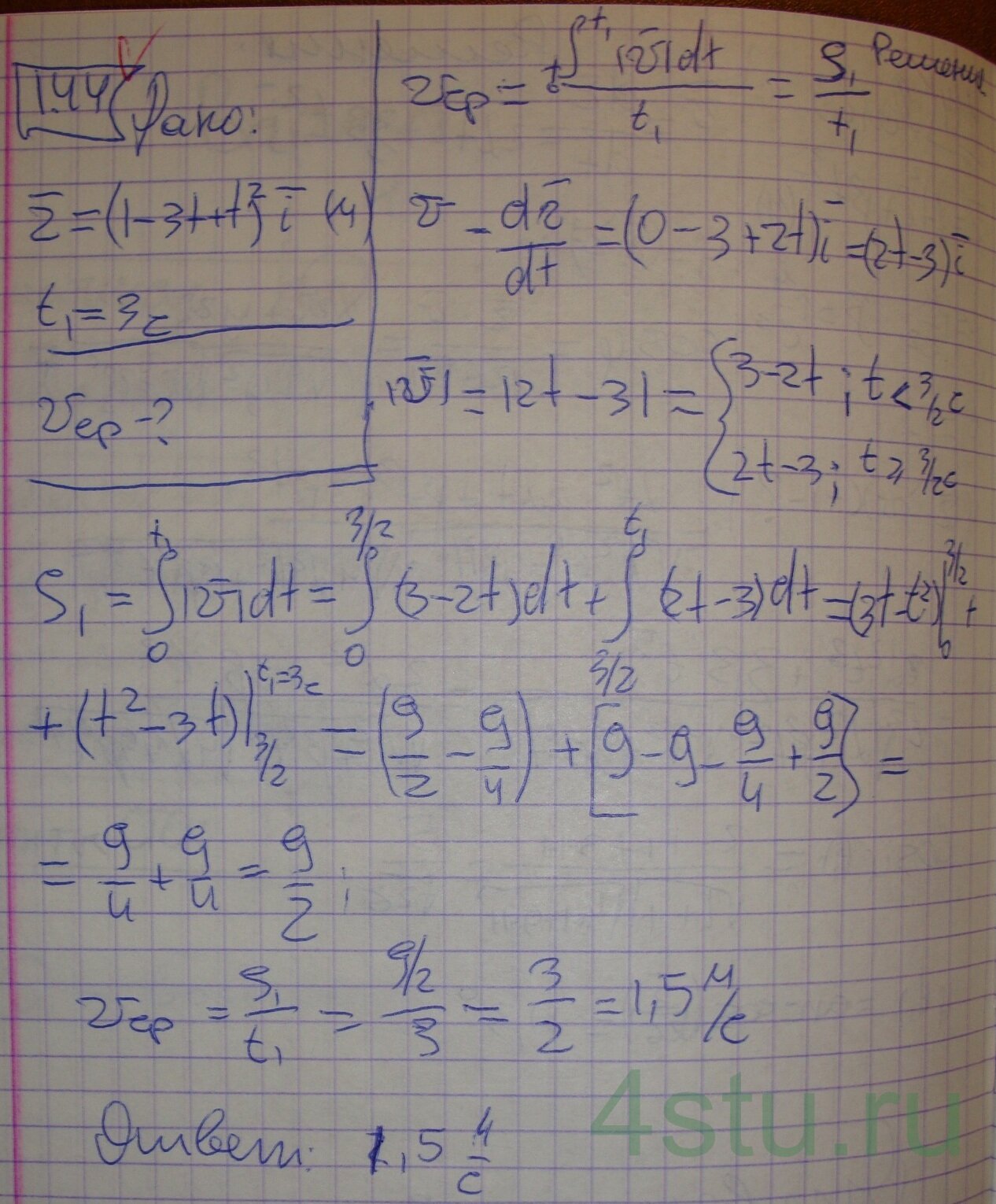
Материальная точка движется по закону r = (1 − 3t + t2)i [м]. Найти среднюю путевую скорость за три секунды после начала движения.
Решение:

Материальная точка движется по закону r = (1 − 3t + t2)i [м]. Найти среднюю путевую скорость за три секунды после начала движения.