№ 1.32
Задание:
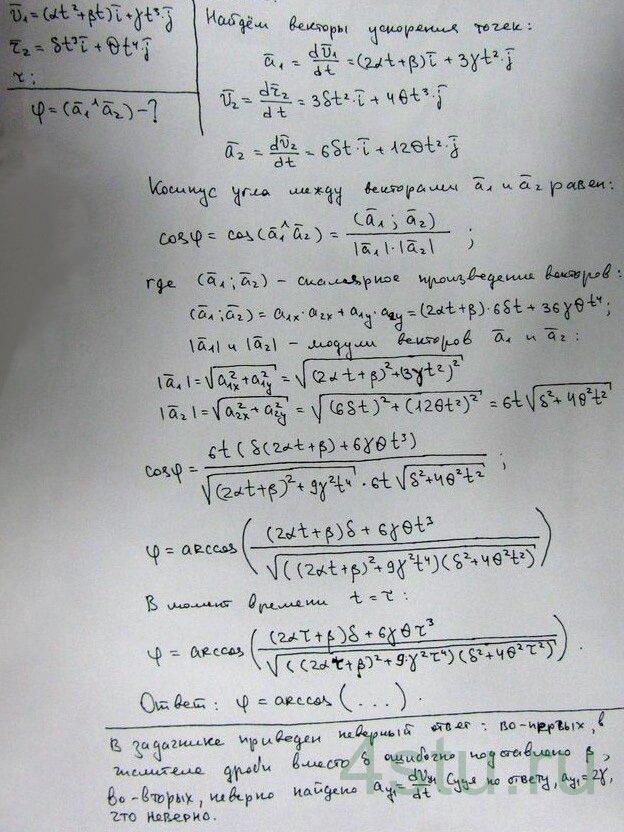
Материальная точка начала движение из начала координат и движется так, что ее скорость зависит от времени по закону v1 = (αt2 + βt)i + γt3j [м/с]. Одновременно вторая точка начала движение и движется так, что радиус-вектор зависит от времени по закону r2 = δt3i + θt4j [м], где α, β, γ, δ, θ - постоянные. Найти угол ϕ между ускорениями точек через промежуток времени τ после начала движения.
Решение:
