№ 8.34
Задание:
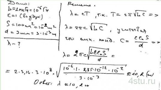
На какую длину волны λ резонирует колебательный контур Томсона, состоящий из катушки индуктивности L = 1 мкГн и плоского воздушного конденсатора, площадь пластин которого S = 100 см2, расстояние между пластинами d = 3 мм?
Решение:

На какую длину волны λ резонирует колебательный контур Томсона, состоящий из катушки индуктивности L = 1 мкГн и плоского воздушного конденсатора, площадь пластин которого S = 100 см2, расстояние между пластинами d = 3 мм?