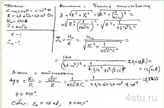
№ 7.39
Задание:
Конденсатор емкостью С = 0,2 мкФ и активное сопротивление R = 4,7 кОм подключены к внешнему переменному напряжению с амплитудой Um = 170 B и частотой ν = 60 Гц. Определить сдвиг фаз между напряжением и током. Чему равно амплитудное значение силы тока в цепи?
Решение:
