№ 6.16
Задание:
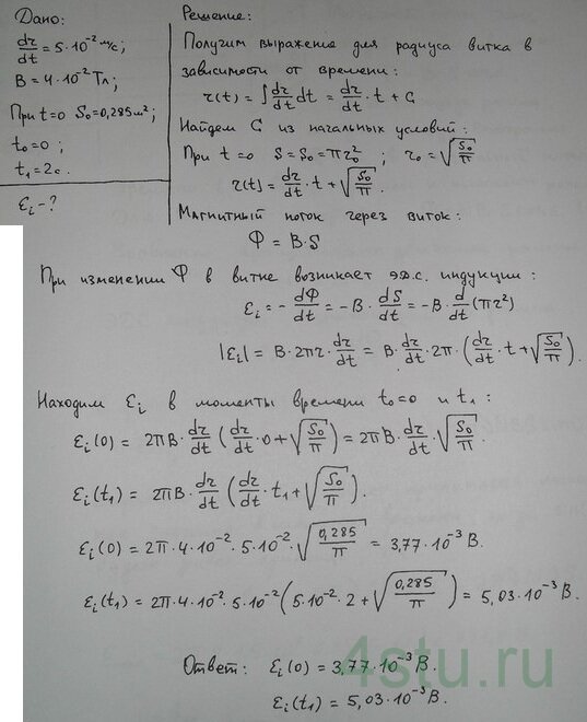
Радиус эластичного витка увеличивается с постоянной скоростью dr/dt = 5 см/с. Виток находится в однородном магнитном поле индукцией В = 0,04 Тл, перпендикулярном плоскости витка. При t = 0 площадь витка S = 0,285 м. Определить э.д.с. индукции в витке в моменты времени t = 0 и t = 2 c.
Решение:
