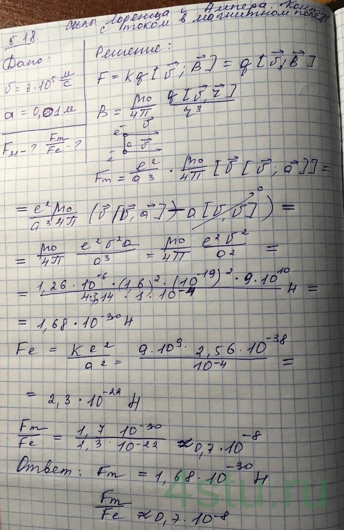
№ 5.18
Задание:
Два электрона движутся в вакууме “бок о бок” по параллельным проводам с одинаковой скоростью v = 3·105 м/с. Расстояние между электронами а = 10 мм. Найти силу Fм магнитного взаимодействия между электронами. Сравнить Fм с силой Fе кулоновского взаимодействия между этими электронами.
Решение:
