№ 5.17
Задание:
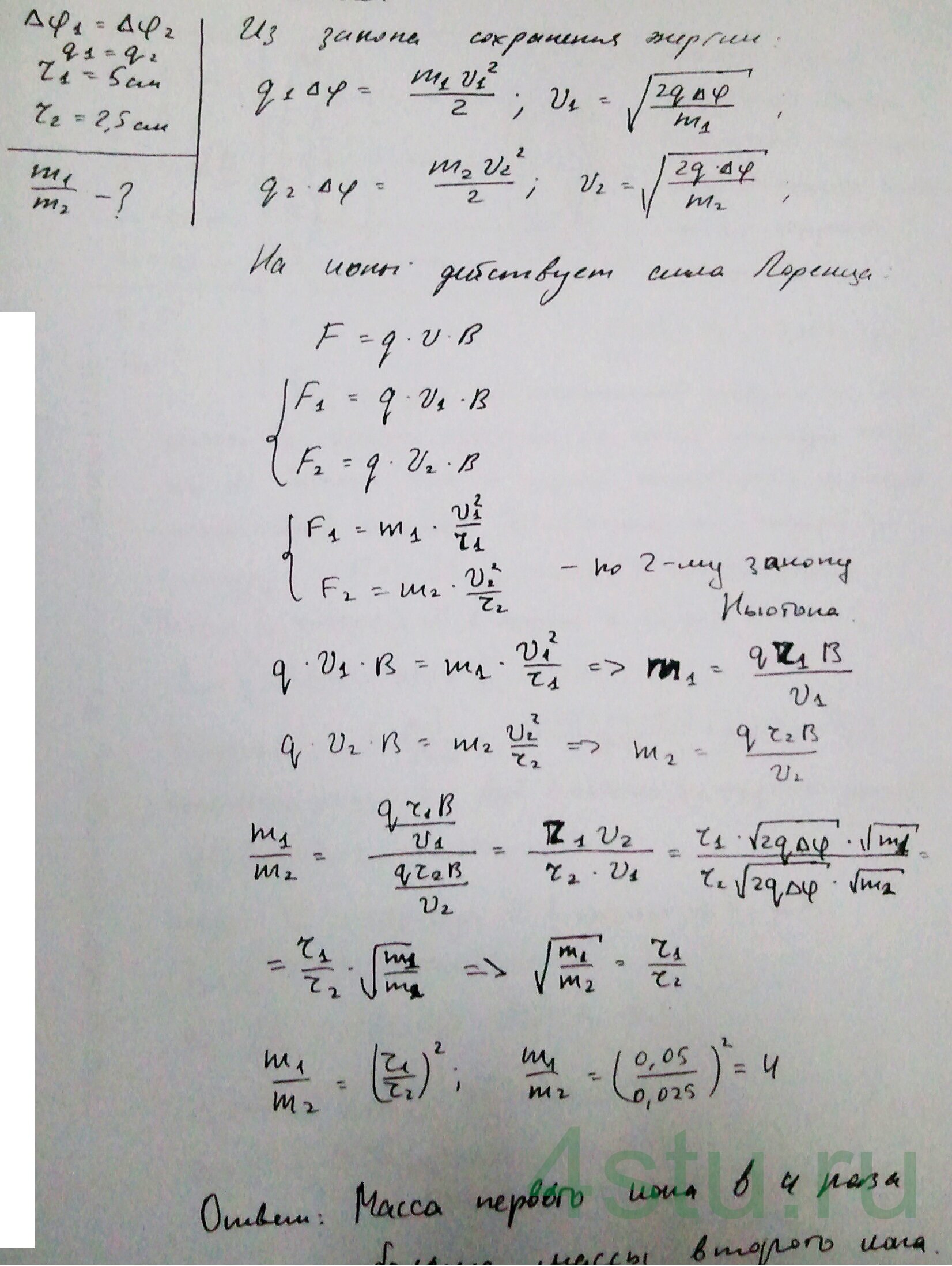
Два иона, имеющие одинаковый заряд, но различные массы, начинают двигаться в однородном магнитном поле. Первый ион начал двигаться по окружности радиусом R1 = 5 см, второй ион - по окружности радиусом R2 = 2,5 см. Определить отношение масс ионов, если они прошли одинаковую ускоряющую разность потенциалов.
Решение:
