№ 3.79
Задание:
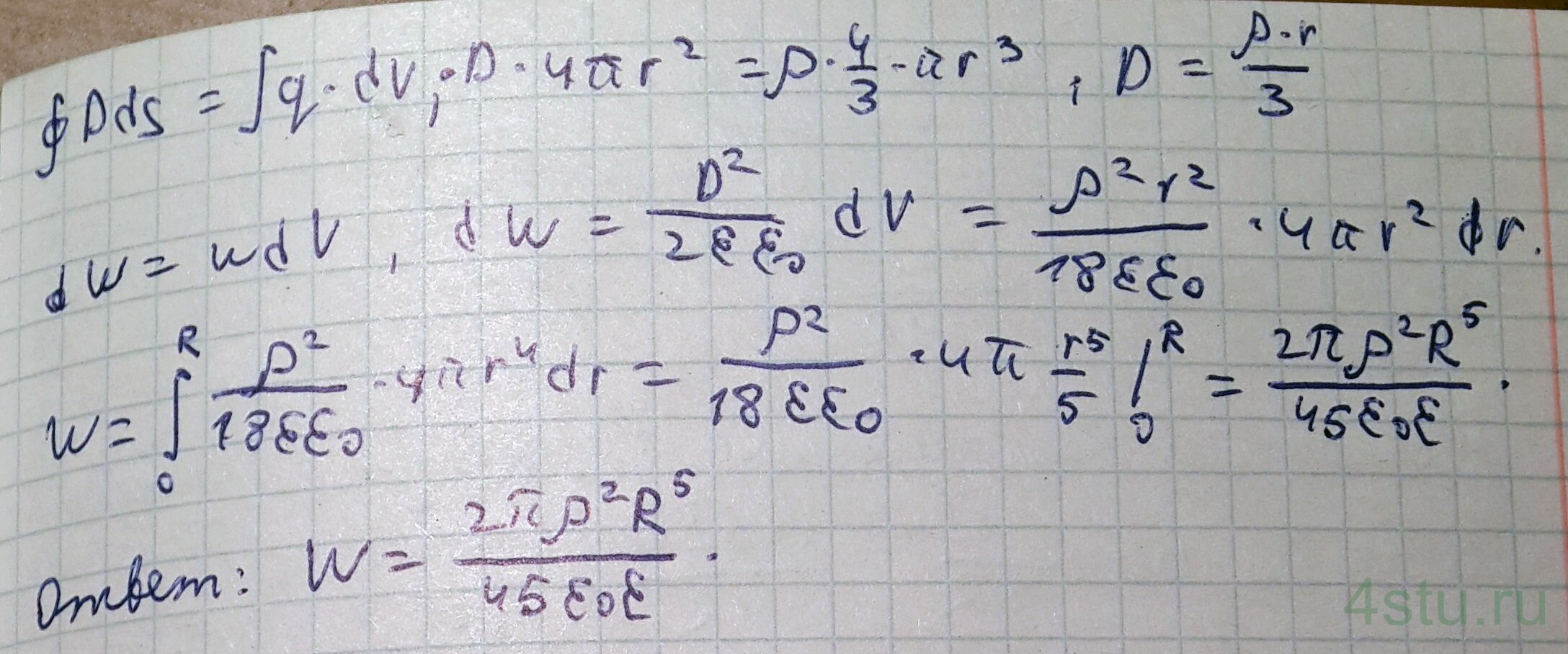
Эбонитовый шар радиусом R равномерно заряжен электричеством с объемной плотностью ρ. Найти энергию электрического поля, заключенную внутри шара.
Решение:
.jpg)
.jpg)
Эбонитовый шар радиусом R равномерно заряжен электричеством с объемной плотностью ρ. Найти энергию электрического поля, заключенную внутри шара.