№ 3.45
Задание:
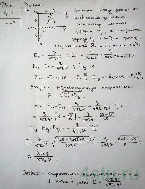
На расстоянии h от проводящей бесконечной плоскости находится точечный заряд +q. Определить напряженность поля Е в точке A, отстоящей от плоскости и от заряда на расстоянии h (рис.3.15).

Решение:

На расстоянии h от проводящей бесконечной плоскости находится точечный заряд +q. Определить напряженность поля Е в точке A, отстоящей от плоскости и от заряда на расстоянии h (рис.3.15).