№ 3.15
Задание:
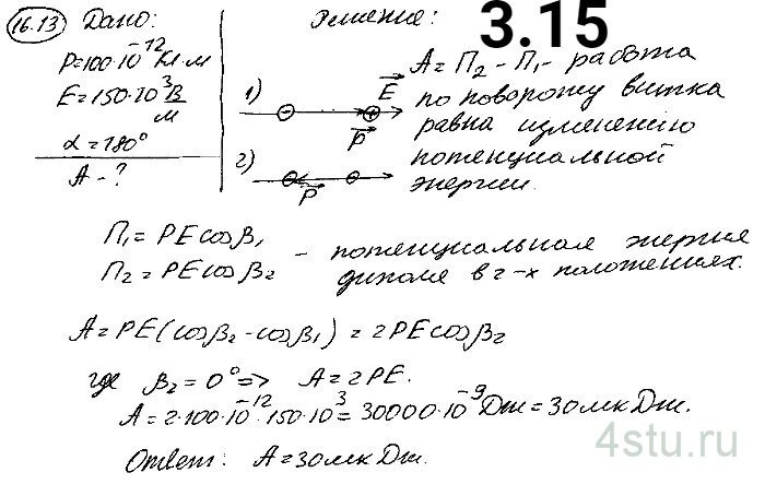
Диполь с электрическим моментом р = 100 пКл·м свободно устанавливается в однородном электрическом поле напряженностью Е = 150 кВ/м. Вычислить работу А, необходимую для того, чтобы повернуть диполь на угол α = 180°.
Решение:

Диполь с электрическим моментом р = 100 пКл·м свободно устанавливается в однородном электрическом поле напряженностью Е = 150 кВ/м. Вычислить работу А, необходимую для того, чтобы повернуть диполь на угол α = 180°.