№ 2.54
Задание:
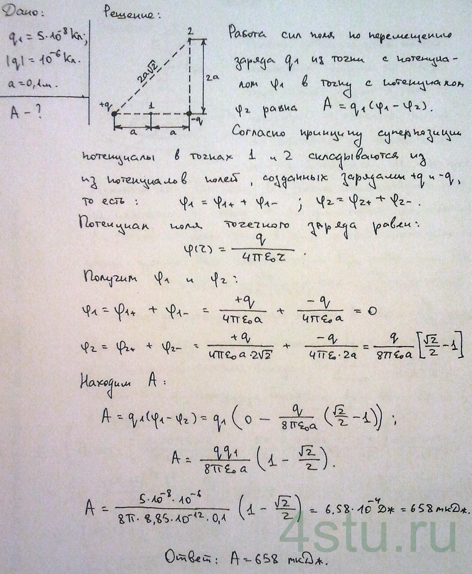
Определить работу А1–2 по перемещению заряда q1 = 50 нКл из точки 1 в точку 2 в поле, созданном двумя точечными зарядами, модуль которых равен |q| = 1 мкКл. Расстояние а = 0,1 м (рис.2.11).

Решение:

Определить работу А1–2 по перемещению заряда q1 = 50 нКл из точки 1 в точку 2 в поле, созданном двумя точечными зарядами, модуль которых равен |q| = 1 мкКл. Расстояние а = 0,1 м (рис.2.11).