№ 2.43
Задание:
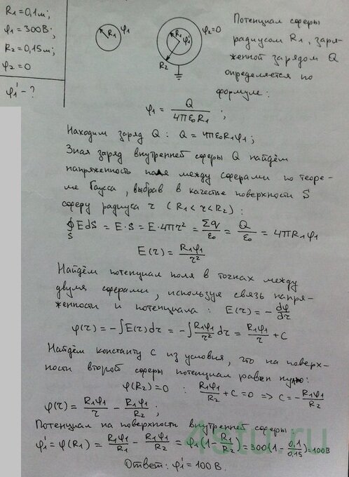
Металлический шар, радиусом R1 = 10 см заряжен до потенциала φ1 = 300 В. Какой потенциал будет иметь этот шар, если его окружить сферической проводящей заземленной оболочкой радиусом R2 = 15 см?
Решение:

Металлический шар, радиусом R1 = 10 см заряжен до потенциала φ1 = 300 В. Какой потенциал будет иметь этот шар, если его окружить сферической проводящей заземленной оболочкой радиусом R2 = 15 см?