№ 2.36
Задание:
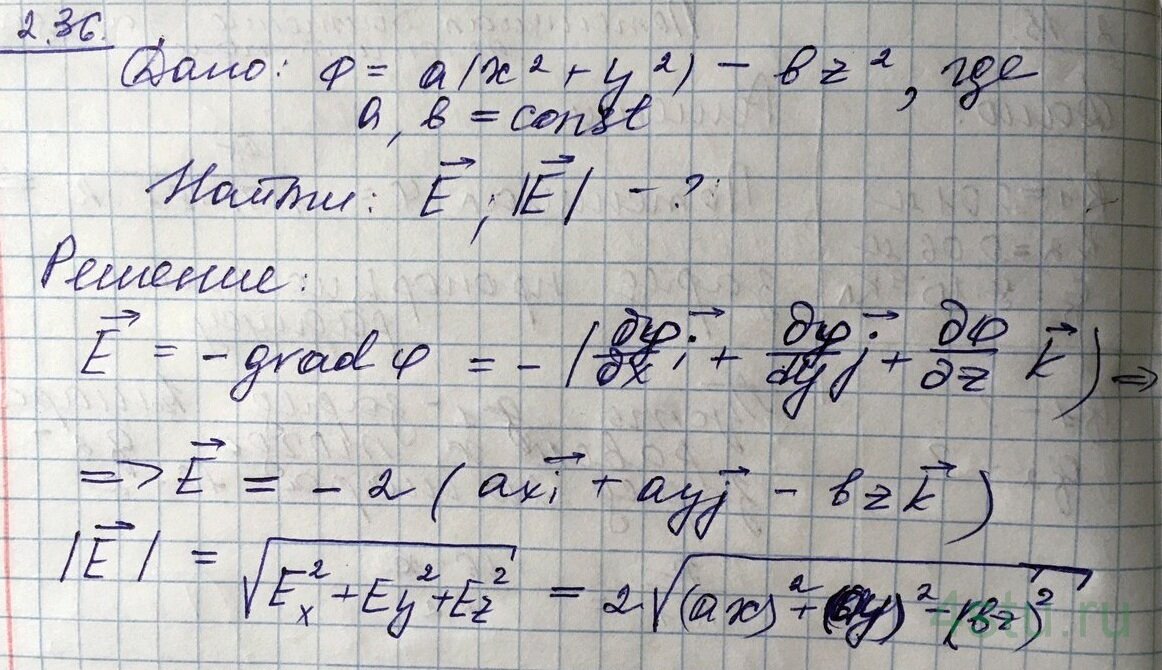
Потенциал поля, создаваемый некоторой системой зарядов имеет вид: φ = a(x2+y2) - bz2 , где a и b - const. Найти вектор напряженности поля E и модуль вектора Е.
Решение:

Потенциал поля, создаваемый некоторой системой зарядов имеет вид: φ = a(x2+y2) - bz2 , где a и b - const. Найти вектор напряженности поля E и модуль вектора Е.