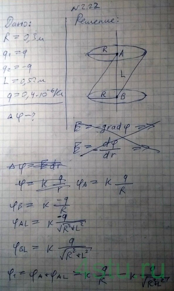
№ 2.22
Задание:
Имеются два тонких проволочных кольца радиусом R = 30 см каждое, оси которых совпадают. Заряды колец равны q и –q, соответственно. Найти разность потенциалов между центрами колец, отстоящих друг от друга на расстоянии L= 52 см, если q = 0,4 мкКл.
Решение:
.jpg)
.jpg)