№ 2.20
Задание:
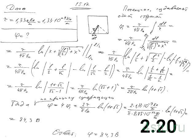
Тонкие стержни образуют квадрат со стороной а. Стержни заряжены с линейной плотностью заряда τ = 1,33 нКл/м. Найти потенциал φ в центре квадрата.
Решение:

Тонкие стержни образуют квадрат со стороной а. Стержни заряжены с линейной плотностью заряда τ = 1,33 нКл/м. Найти потенциал φ в центре квадрата.