№ 2.15
Задание:
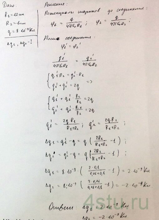
Два уединенных металлических шарика радиусами R1 = 10 см и R2 = 6 см, имеющие одинаковые заряды q = 8*10–9 Кл, соединяют длинной проволокой. Найти характер изменения зарядов на шариках после их соединения.
Решение:

Два уединенных металлических шарика радиусами R1 = 10 см и R2 = 6 см, имеющие одинаковые заряды q = 8*10–9 Кл, соединяют длинной проволокой. Найти характер изменения зарядов на шариках после их соединения.