№ 3.53
Задание:
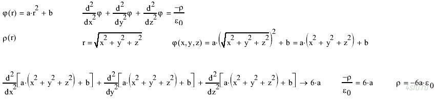
Потенциал поля внутри заряженного шара зависит только от расстояния до его центра по закону φ = ar2 + b, где a и b — постоянные. Найти распределение объемного заряда ρ (r) внутри шара.
Решение:

Потенциал поля внутри заряженного шара зависит только от расстояния до его центра по закону φ = ar2 + b, где a и b — постоянные. Найти распределение объемного заряда ρ (r) внутри шара.