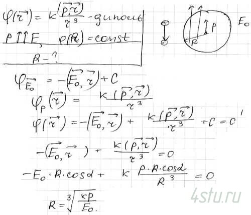
№ 3.41
Задание:
Точечный электрический диполь с моментом p находится во внешнем однородном электрическом поле, напряженность которого равна E0, причем p ↑↑ E0. В этом случае одна из эквипотенциальных поверхностей, охватывающих диполь, является сферой. Найти ее радиус.
Решение:
