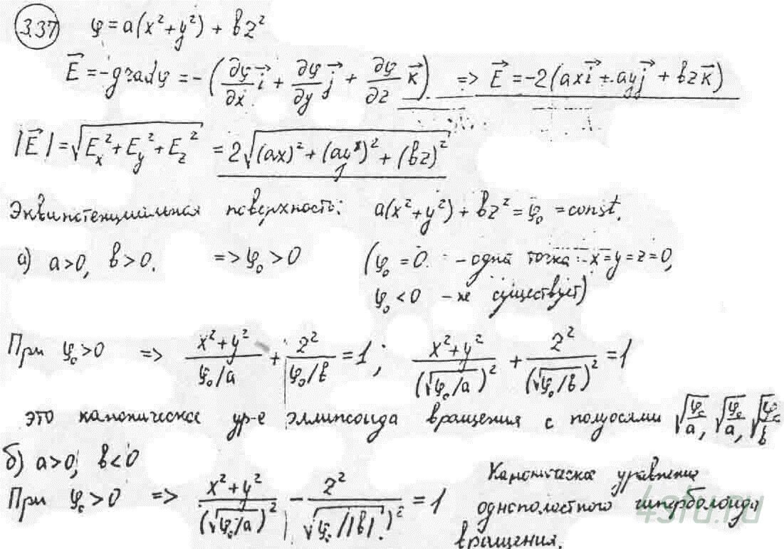
№ 3.37
Задание:
Потенциал некоторого электростатического поля имеет вид φ = a(x2 + y2) + bz2, где а и b — постоянные. Найти модуль и направление вектора напряженности поля. Какую форму имеют эквипотенциальные поверхности в случаях:
а) a > 0, b > 0; б) a > 0, b < 0?
Решение:
