№ 3.33
Задание:
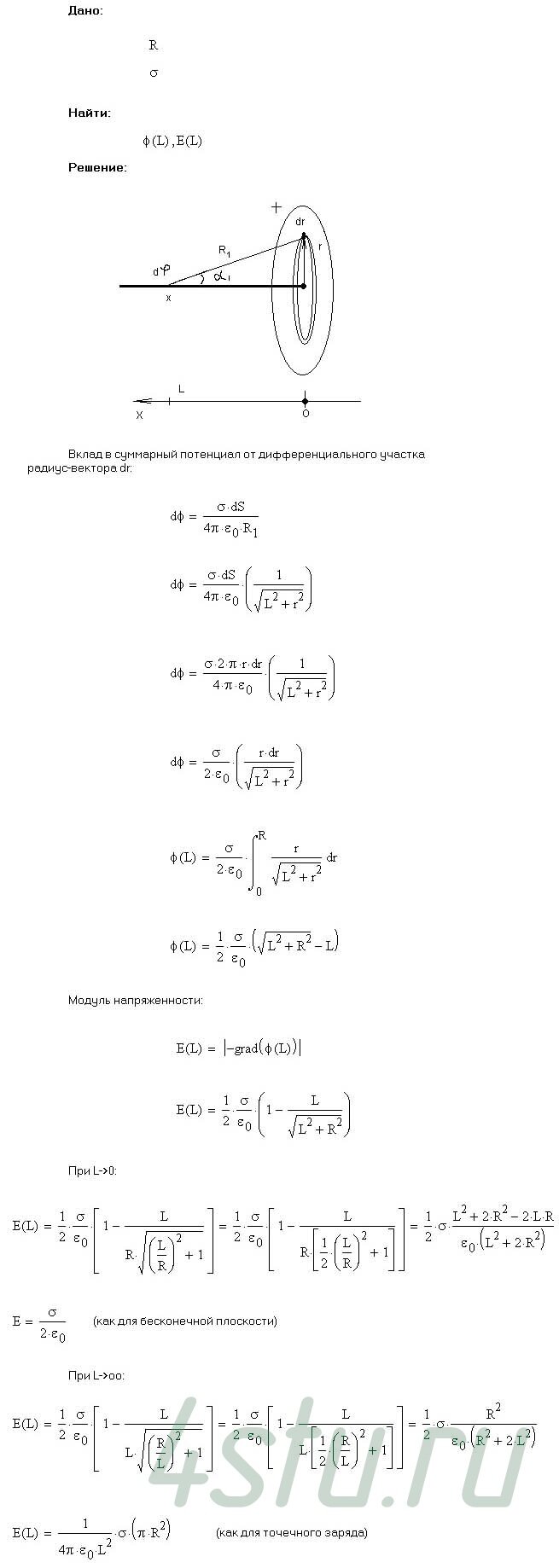
Находящаяся в вакууме круглая очень тонкая пластинка радиуса R равномерно заряжена с поверхностной плотностью σ. Найти потенциал и напряженность электрического поля на оси пластинки как функцию расстояния l от ее центра. Исследовать полученное выражение при l → 0 и l >> R.
Решение:
