№ 3.27
Задание:
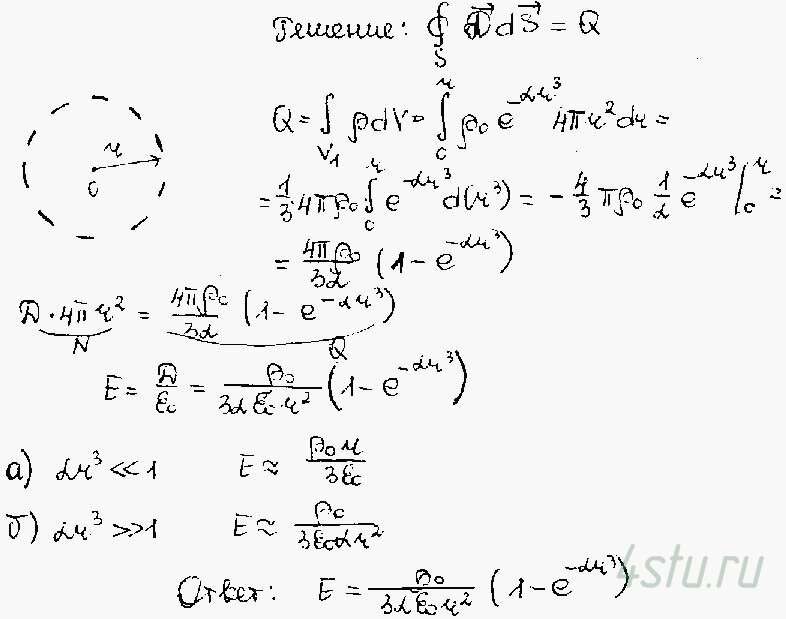
Пространство заполнено зарядом с объемной плотностью ρ = ρ0e-αr3, где ρ0 и α — положительные константы, r — расстояние от центра данной системы. Найти модуль вектора напряженности электрического поля как функцию r. Исследовать полученное выражение при малых и больших r, т. е. при αr3 << 1 и αr3 >> 1.
Решение:
