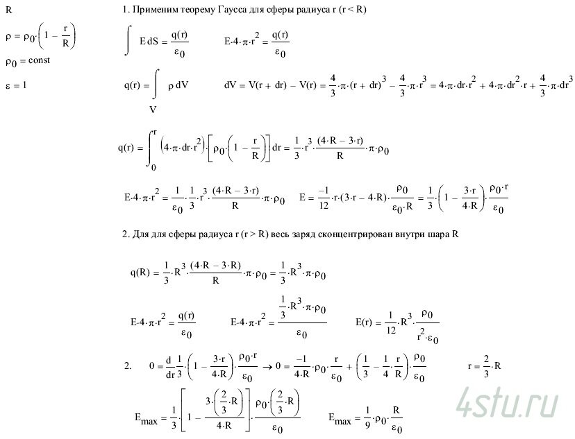
№ 3.25
Задание:
Шар радиуса R имеет положительный заряд, объемная плотность которого зависит только от расстояния r до его центра по закону ρ = ρ0 (1 — r/R), где ρ0 — постоянная. Полагая диэлектрическую проницаемость шара и окружающего пространства равной единице, найти:
а) модуль вектора напряженности электрического поля внутри и вне шара как функцию расстояния r;
б) максимальное значение напряженности Eмакс и соответствующее ему значение расстояния rm.
Решение:
