№ 3.13
Задание:
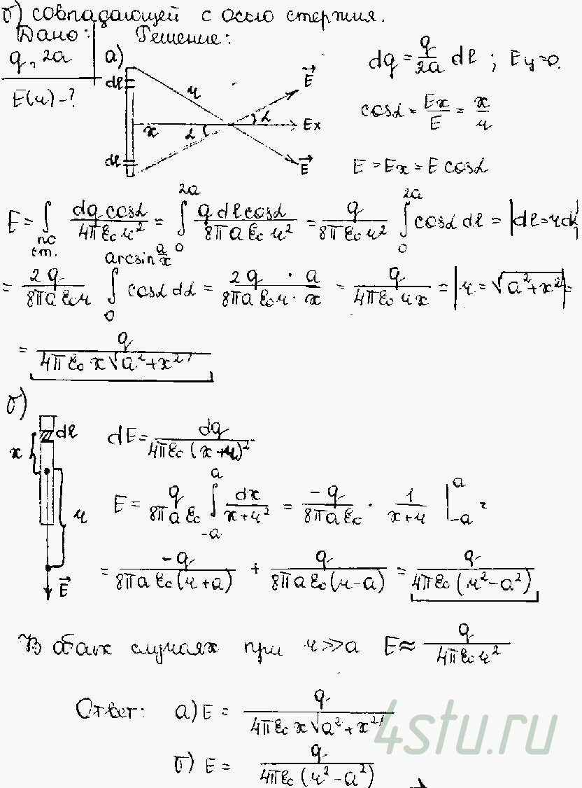
Находящийся в вакууме тонкий прямой стержень длины 2a заряжен равномерно зарядом q. Найти модуль вектора напряженности электрического поля как функцию расстояния r от центра стержня для точек прямой:
а) перпендикулярной к стержню и проходящей через его центр;
б) на оси стержня вне его.
Исследовать полученные выражения при r >> a.
Решение:
