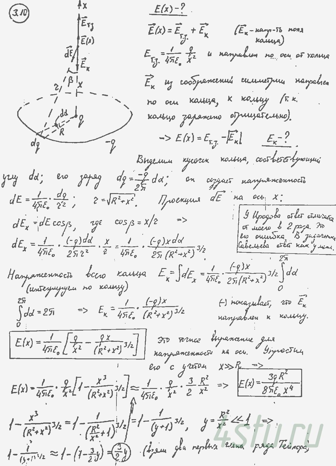
№ 3.10
Задание:
Точечный заряд q находится в центре тонкого кольца радиуса R, по которому равномерно распределен заряд -q. Найти модуль вектора напряженности электрического поля на оси кольца в точке, отстоящей от центра кольца на расстояние x, если x >> R.
Решение:
