№ 3.1
Задание:
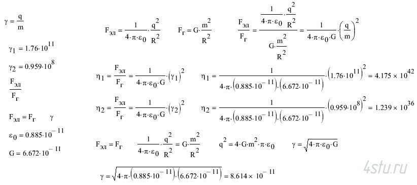
Вычислить отношение электростатической и гравитационной сил взаимодействия между двумя электронами, между двумя протонами. При каком значении удельного заряда q/m частицы эти силы оказались бы равными по модулю в случае взаимодействия одинаковых частиц?
Решение:
