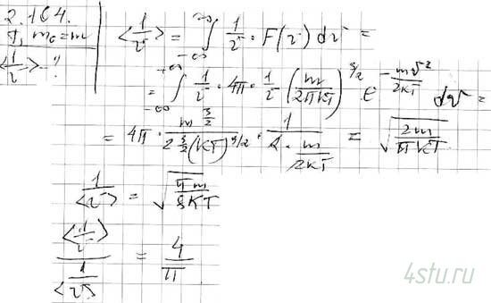
№ 2.95
Задание:
Воспользовавшись распределением Максвелла, найти <1/v> — среднее значение обратной скорости молекул идеального газа, находящегося при температуре Т, если масса каждой молекулы m. Сравнить полученную величину с обратной величиной средней скорости.
Решение:
