№ 2.86
Задание:
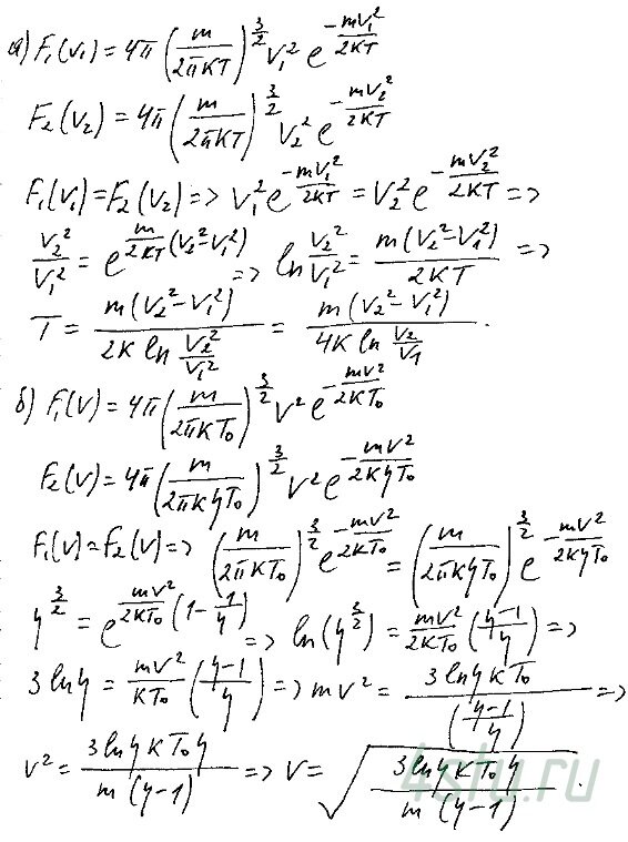
Найти для газообразного азота: а) температуру, при которой скоростям молекул v1 = 300 м/с и v2 = 600 м/с соответствуют одинаковые значения функции распределения Максвелла F (v); б) скорость v молекул, при которой значение функции распределения Максвелла F (v) для температуры Т0 будет таким же, как и для температуры в η раз большей.
Решение:
