№ 2.77
Задание:
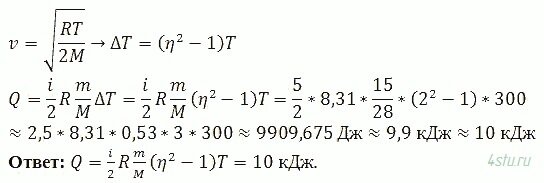
Азот массы m = 15 г находится в закрытом сосуде при температуре T = 300 К. Какое количество тепла необходимо сообщить азоту, чтобы средняя квадратичная скорость его молекул возросла в η = 2,0 раза?
Решение:

Азот массы m = 15 г находится в закрытом сосуде при температуре T = 300 К. Какое количество тепла необходимо сообщить азоту, чтобы средняя квадратичная скорость его молекул возросла в η = 2,0 раза?