№ 2.73
Задание:
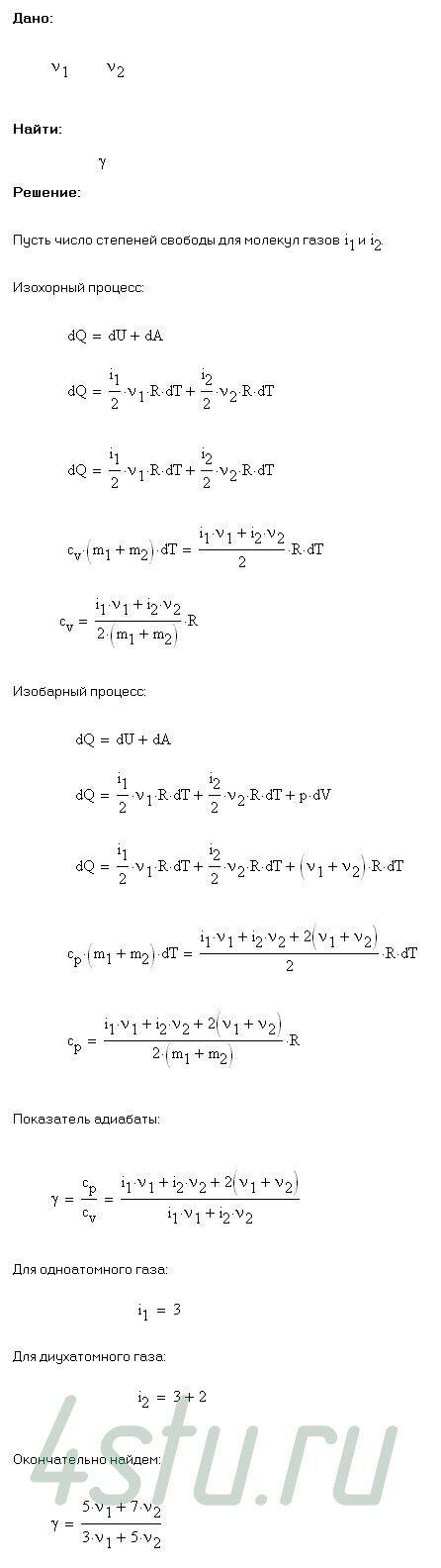
Вычислить показатель адиабаты γ для смеси, состоящей из ν1 молей одноатомного газа и ν2 молей двухатомного газа из жестких молекул.
Решение:

Вычислить показатель адиабаты γ для смеси, состоящей из ν1 молей одноатомного газа и ν2 молей двухатомного газа из жестких молекул.