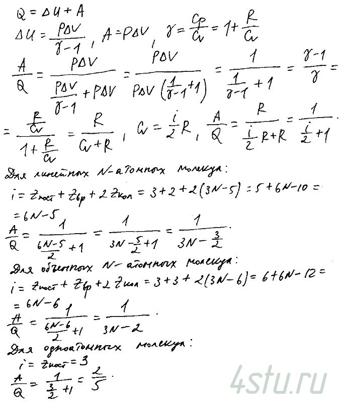
№ 2.70
Задание:
Идеальный газ, состоящий из N-атомных молекул, расширяют изобарически. Считая, что у молекул возбуждены все степени свободы (поступательные, вращательные и колебательные), найти, какая доля теплоты, сообщаемой газу в этом процессе, расходуется на работу расширения. Чему равна эта доля для одноатомного газа?
Решение:
