№ 2.69
Задание:
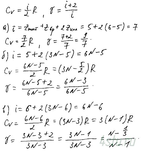
Пусть газ нагрет до температуры, при которой у молекул возбуждены все степени свободы (поступательные, вращательные и колебательные). Найти молярную теплоемкость такого газа при изохорическом процессе, а также показатель адиабаты γ, если газ состоит из молекул: а) двухатомных; б) линейных N-атомных; в) объемных N-атомных.
Решение:
