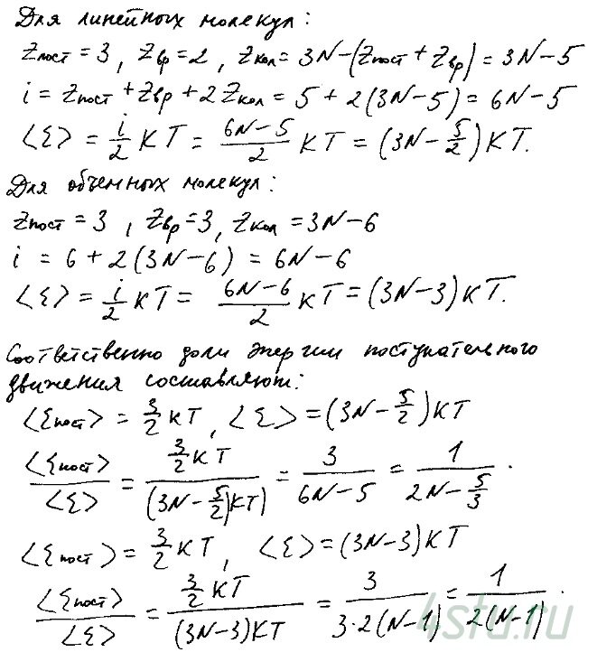
№ 2.68
Задание:
Газ, состоящий из N-атомных молекул, имеет температуру Т, при которой у молекул возбуждены все степени свободы (поступательные, вращательные и колебательные). Найти среднюю энергию молекулы такого газа. Какую часть этой энергии составляет энергия поступательного движения?
Решение:
