№ 2.63
Задание:
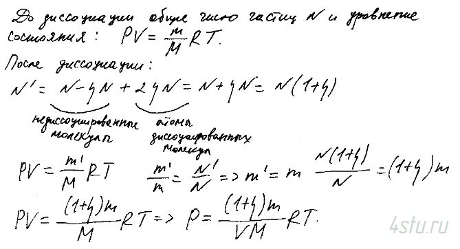
В сосуде объемом V = 5,0 л находится азот массы m = 1,4 г при температуре Т = 1800 К. Найти давление газа, имея в виду, что при этой температуре η = 30% молекул диссоциировано на атомы.
Решение:

В сосуде объемом V = 5,0 л находится азот массы m = 1,4 г при температуре Т = 1800 К. Найти давление газа, имея в виду, что при этой температуре η = 30% молекул диссоциировано на атомы.