№ 2.62
Задание:
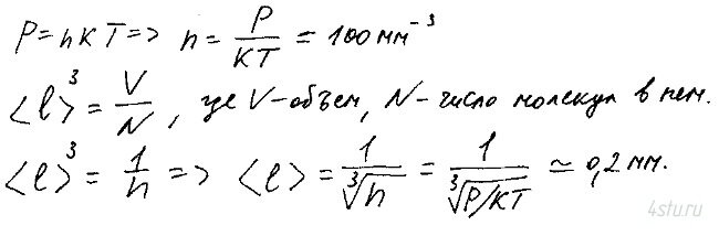
Современные вакуумные насосы позволяют получать давления до p = 4*10-15 атм (при комнатной температуре). Считая, что газом является азот, найти число его молекул в 1 см3 и среднее расстояние между ними при этом давлении.
Решение:

Современные вакуумные насосы позволяют получать давления до p = 4*10-15 атм (при комнатной температуре). Считая, что газом является азот, найти число его молекул в 1 см3 и среднее расстояние между ними при этом давлении.