№ 2.56
Задание:
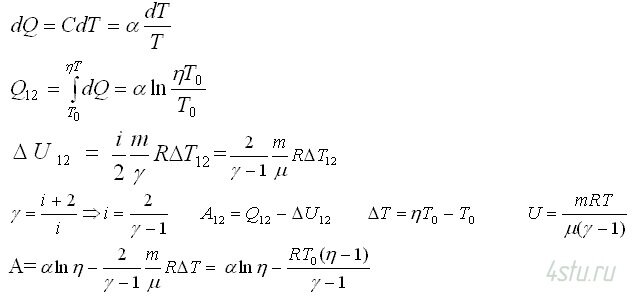
Имеется идеальный газ с показателем адиабаты γ. Его молярная теплоемкость при некотором процессе изменяется по закону C = α/T, где α — постоянная. Найти: а) работу, совершенную одним молем газа при его нагревании от температуры Т0 до температуры в η раз большей; б) уравнение процесса в параметрах p, V.
Решение:
