№ 2.55
Задание:
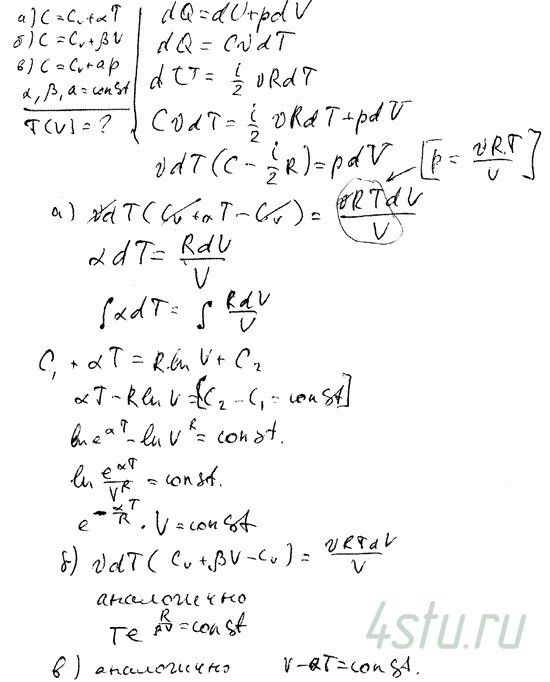
Найти для идеального газа уравнение процесса (в переменных T, V), при котором молярная теплоемкость газа изменяется по закону: а) С = CV + αТ; б) С = CV + βV; в) С = CV + ap. Здесь α, β и a — постоянные.
Решение:

Найти для идеального газа уравнение процесса (в переменных T, V), при котором молярная теплоемкость газа изменяется по закону: а) С = CV + αТ; б) С = CV + βV; в) С = CV + ap. Здесь α, β и a — постоянные.