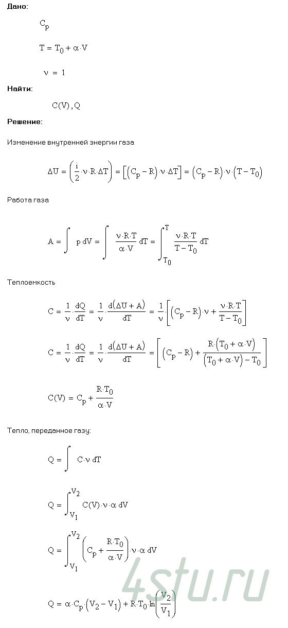
№ 2.54
Задание:
Один моль идеального газа, теплоемкость которого при постоянном давлении равна Сp, совершает процесс по закону Т = Т0 + αV, где T0 и α — постоянные. Найти: а) теплоемкость газа как функцию его объема; б) сообщенное газу тепло, если его объем увеличился от V1 до V2.
Решение:
