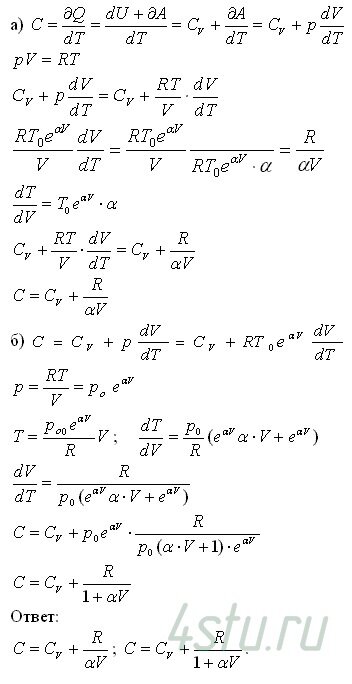
№ 2.52
Задание:
Имеется идеальный газ, молярная теплоемкость которого при постоянном объеме равна CV. Найти молярную теплоемкость этого газа как функцию его объема V, если газ совершает процесс по закону: а) T = T0eαV; б) p = p0eαV, где T0, p0 и α — постоянные.
Решение:
